摘 要:水资源承载能力是指在一定的技术经济水平和社会生产条件下,水资源可供给工农业生产、人民生活和生态环境保护等用水的能力,即水资源最大开发容量。水资源承载能力受年降水量、径流量、用水效率、经济结构、生产力布局等多种因素的影响,这些因素之间相互作用、相互制约,这种复杂性使得对水资源承载能力的观测和评估变得困难。灰色系统评价法作为处理贫信息系统的方法,适用于只有少量观测数据的项目。文章将探讨灰色系统评价在水资源承载能力评估中的应用优势,并提出相应的应用方案,以期助力水资源承载能力评估工作的良好开展。
关键词:水资源承载能力;灰色系统评价;应用优势;应用方案
水资源是社会经济可持续发展的基础,其承载能力的评估能够帮助相关单位更好地进行水资源管理及政策制定,确保各类生产活动及民众生活的正常用水。然而,水资源系统受到气象、植被、土壤、上游河流状况、地下水位和地下水循环速度等多种因素的共同影响,这些因素的不确定性使得水资源承载能力的评估变得复杂。灰色系统评价法作为处理不确定性和贫信息系统的有效方法,为解决这一问题提供了新的途径。因此,需要剖析其应用于水资源承载能力评估的意义,制定合理的评估方案,保证评估的准确性。
一、灰色系统评价法的基本原理
灰色系统理论是我国著名学者邓聚龙教授于1982年提出的,它的研究对象是“部分信息已知,部分信息未知”的“贫信息”不确定性系统。在控制论中,人们常用颜色的深浅来形容信息的明确程度。用“黑”表示信息未知,用“白”表示信息完全明确,用“灰”表示部分信息明确、部分信息不明确。相应地,信息完全不明确的系统被称为黑色系统,信息完全明确的系统被称为白色系统,信息不完全明确的系统被称为灰色系统。灰色系统是介于信息完全知道的白色系统和一无所知的黑色系统之间的中介系统。它通过对部分已知信息的生成、开发来实现对现实世界的确切描述和认识,其基本思想是利用关联度分析,通过比较不同方案与最优方案之间的关联度大小,对评价对象进行比较和排序,描述因素间关系的强弱、大小和次序。因为所需信息不多,所以适用于处理各种不确定因素过多的评估对象。
水资源系统本身是复杂的自然系统,受到天文、气象、下垫面及人类活动等多种因素的影响。这些因素相互作用,导致水文系列的变异,使得人们对水资源系统的预测无法达到确定的范围,常见有气候变化导致降水模式的改变,进而影响水资源的数量和分布;人类活动如过度开发、污染等也会对水资源系统造成不可预测的影响。因此,需要利用灰色系统评价来减少不确定性,提高评估精度。
二、灰色系统评价在水资源承载能力评估中的应用优势
(一)处理贫信息系统的能力
水资源承载能力的影响因素多,数据搜集难度大,因此,评估中会出现数据不全面、不准确的问题,形成所谓的“贫信息系统”。灰色系统评价法正是针对这种数据稀缺、信息不完整的情况而提出的一种方法。它不拘泥于传统统计学对数据完整性和正态分布的严格要求,而是通过对部分已知信息的深入分析和挖掘,揭示出系统内部的潜在规律和关联性。在水资源承载能力评估中,即使面对有限的数据资源,灰色系统评价法也能够通过构建灰色模型来实现对水资源承载能力的合理评估。首先,通过对已知数据的处理,提取出系统的灰色特征,即那些虽然不完全但具有一定规律性的信息。然后,利用这些特征信息构建数学模型,对系统的未来发展趋势进行预测或评估,揭示出系统内部的关键因素和变化趋势,为决策者提供有价值的参考信息。
(二)对数据量要求不高的适应性
受地理位置、经济条件、技术水平等多种因素的限制,很多地区的水资源数据不完整,甚至存在大量的缺失值,这对于传统的统计学方法和数据分析工具来说是巨大的挑战。灰色系统评价法并不依赖于大量的数据样本,而是通过对有限的数据进行深入的分析和处理,提取出系统的关键信息和规律。因此,即使只有少量的观测数据,灰色系统评价法也能够进行有效的评估。在实际操作中,灰色系统评价法可以利用历史数据、实时监测的数据、遥感数据等各种来源的数据,构建灰色模型进行综合分析、处理定性描述和专家判断等主观信息,从而实现对水资源承载能力的全面评估。
(三)灵活性和可靠性的结合
灰色系统评价法的显著优势在于其灵活性和可靠性的完美结合。在水资源承载能力评估中,由于系统的复杂性和不确定性,需要不断调整评估模型和方法以适应新的情况,而灰色系统评价法具有较高的灵活性,可以根据实际情况调整模型的参数和结构,以适应不同的评估需求和场景。且该评价方式结合了灰色关联度和三角白化权函数的优点,通过量化系统内部各因素之间的关联度和权重分配,提高模型的稳定性和准确性。在水资源承载能力评估中,即使面对不确定性和复杂性,灰色系统评价法也能够提供可靠的结果和解释,并且该方法可以与其他评估方法相结合形成综合评估体系,应用于其他领域和问题的评估中。
三、灰色系统评价在水资源承载能力评估中的应用方案
(一)构建灰色关联度判断矩阵
水资源承载能力评估涉及多个因素,通过建立灰色关联度判断矩阵,综合考虑这些因素之间的关联性和相互影响,从而更准确地评估水资源的承载能力。灰色关联度判断矩阵主要用于提供量化分析的方法,将各因素之间的关联度转化为具体的数值。这种量化分析能帮助决策者更准确地了解各因素在系统中的作用和影响,为制定科学的水资源管理政策提供依据。另外,因为水资源承载能力是一个动态变化的过程,随时会因为外界因素的变化而发生改变,所以也需要通过建立灰色关联度判断矩阵,动态地监测和评估各因素之间的关联度,及时发现和应对可能出现的问题,从而确保水资源管理的有效性和可持续性。
在构建灰色关联度判断矩阵时,需要确定参考序列和比较序列。参考序列通常选择最优方案或理想方案的指标值,比较序列则选择待评估方案的指标值。根据灰色关联度的计算公式,计算各比较序列与参考序列之间的关联度,构建灰色关联度判断矩阵。为了消除不同指标量纲和数量级的影响,需要对数据进行预处理。常用的预处理方法有极差变换法和标准化法,极差变换表示为:

其中,X’ij为预处理后的指标值,xij为原始指标值,min(xij)和max(xij)分别为第i个指标的最小值和最大值。
根据灰色关联度的计算公式,计算各比较序列与参考序列之间的关联系数,如下:

其中,ξ(x0j,xij)为灰色关联系数,x0j为参考序列的第j个指标值,xij为比较序列的第j个指标值,ρ为分辨系数,一般取值范围为[0,1]。根据计算得到的灰色关联系数,构建灰色关联度判断矩阵。矩阵中的元素为各比较序列与参考序列之间的关联度,如表1所示:
表1所示的判断矩阵是用来衡量各个比较序列与参考序列之间的关联度,通过计算每个比较序列与参考序列之间的灰色关联系数,了解每个比较序列与理想状态(参考序列)的接近程度。在水资源承载能力评估中,因为不同的区域或方案会有不同的指标值,所以要构建判断矩阵,直观地比较这些方案与最优方案的差异,并依靠分析关联度,合理地分配各指标的权重,辅助决策者选择最优或最合适的方案。
(二)确定权重
权重是用以反映不同因素在评估体系中的重要程度,帮助决策者识别哪些因素对评估结果具有决定性的影响。通过赋予不同因素适当的权重,才能优化资源配置,使评估结果更加符合实际需求。
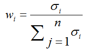
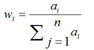
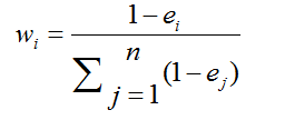
在确定权重时,可以采用变异系数法、主观赋权法或客观赋权法。变异系数法是根据各评价指标的变异程度来确定权重,能够反映各指标数据的离散程度,对于离散程度较大的指标赋予较大的权重,从而提高评估的灵敏度和准确性。主观赋权法则是根据专家的经验和判断来确定权重,能够体现决策者的意愿和偏好,但会存在一定的主观随意性和不确定性。客观赋权法则是根据数据本身的特征来确定权重,具有较强的数学理论依据,能够避免评价结果的主观随意性,提高评估的准确性。
变异系数法确定权重表示为:

其中,wi为第i个评价指标的权重,σi为第i个评价指标的标准差,n为评价指标的总数。
主观赋权法确定权重表示为:

其中,wi为第i个评价指标的权重,ai为第i个评价指标的专家评分,n为评价指标的总数。
客观赋权法(如熵权法)确定权重表示为:

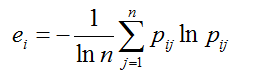
其中,wi为第i个评价指标的权重,ei为第i个评价指标的熵值,n为评价指标的总数。熵值的计算公式为:

其中,pij为第j个评价对象在第i个评价指标上的比重。
在实际应用中,可以根据具体情况选择适当的权重确定方法。
(三)计算灰色关联投影值
在得到灰色关联度判断矩阵和权重后,可以根据灰色关联投影法的计算公式,计算各待评估方案在理想方案上的投影值。灰色关联投影法是将多指标评价问题转化为单指标评价问题,通过比较各评价对象在理想方案上的投影值,来确定各对象的优劣顺序,计算方式如下:

其中,Pj表示第j个待评估方案在理想方案上的投影值,γij表示第j个待评估方案与理想方案在第i个指标上的灰色关联度,Wi表示第i个指标的权重。
投影值的大小反映了待评估方案与理想方案的接近程度。投影值越大,说明待评估方案在各个指标上的表现越接近理想方案,即水资源承载能力越强。因此,通过比较各方案的投影值,可以对水资源承载能力进行排序和比较。根据计算得到的投影值对水资源承载能力进行综合评估,识别出水资源承载能力较弱的区域,从而有针对性地进行水资源配置和优化,提升水资源的利用效率。评估结果也可以作为政策制定的参考依据,帮助政府制定合理的水资源保护政策、水资源开发政策及相关的法律法规;制定长期的水资源发展规划,确保水资源的可持续利用,支撑经济社会的可持续发展。
四、结束语
将灰色系统评价法引入水资源承载能力评估,能丰富水资源评价的理论体系,为处理复杂、不确定性问题提供新的研究视角。本文通过对灰色系统评价法在水资源承载能力评估中的应用优势及应用方案的研究,揭示灰色系统评价法在处理贫信息系统、适应数据量要求不高、结合灵活性与可靠性等方面的显著特点。通过构建灰色关联度判断矩阵、确定权重以及计算灰色关联投影值,可以为水资源承载能力评估提供科学、有效的解决方案,有利于提高水资源管理的精准度,并为政府制定水资源政策提供有力支持,确保水资源的可持续利用,促进经济社会可持续发展。
(文 / 张超)
(作者简介:张超,天水市水利水电勘测设计研究院有限公司,硕士研究生,高级工程师。研究方向:水文水资源)
参考文献:
[1]郜士彬,陈科,沈宗觊,等.基于水资源的国土空间规划下城镇规模预测[J].地理空间信息,2024,22(03):59-62;127.
[3]张惠,张代青,陈艺菁,等.基于不确定性分析方法的水资源承载力评价研究[J].水力发电,2022,48(07):16-21.
- 本文固定链接: http://www.dlqsyzz.com/10652.html
- 转载请注明: 《大陆桥视野》 于 大陆桥视野 发表
